mos場效應管四個區域
本文主要講mos管飽和區電流公式,但是我們先來看一下mos場效應管四個區域詳解。
1)可變電阻區(也稱非飽和區)
滿足Ucs》Ucs(th)(開啟電壓),uDs《UGs-Ucs(th),為圖中預夾斷軌跡左邊的區域其溝道開啟。在該區域UDs值較小,溝道電阻基本上僅受UGs控制。當uGs一定時,ip與uDs成線性關系,該區域近似為一組直線。這時場效管D、S間相當于一個受電壓UGS控制的可變電阻。
2)恒流區(也稱飽和區、放大區、有源區)
滿足Ucs≥Ucs(h)且Ubs≥UcsUssth),為圖中預夾斷軌跡右邊、但尚未擊穿的區域,在該區域內,當uGs一定時,ib幾乎不隨UDs而變化,呈恒流特性。i僅受UGs控制,這時場效應管D、S間相當于一個受電壓uGs控制的電流源。場效應管用于放大電路時,一般就工作在該區域,所以也稱為放大區。
3)夾斷區(也稱截止區)
夾斷區(也稱截止區)滿足ucs《Ues(th)為圖中靠近橫軸的區域,其溝道被全部夾斷,稱為全夾斷,io=0,管子不工作。
4)擊穿區位
擊穿區位于圖中右邊的區域。隨著UDs的不斷增大,PN結因承受太大的反向電壓而擊穿,ip急劇增加。工作時應避免管子工作在擊穿區。
轉移特性曲線可以從輸出特性曲線。上用作圖的方法求得。例如在圖3( a)中作Ubs=6V的垂直線,將其與各條曲線的交點對應的i、Us值在ib- Uss 坐標中連成曲線,即得到轉移性曲線,如圖3(b)所示。

mos管飽和區電流公式及其詳解
mos管飽和區電流公式,在強反型狀態下飽和區中的工作。小信號參數的值因MOS晶體管的工作區域而變化。假定MOS晶體管處于VGS比閾值電壓VT高得多的強反型狀態,而且工作在飽和區,求這種狀況下的小信號參數。
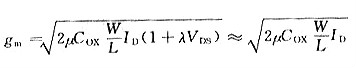
可將跨導gm表示如下:

在能夠疏忽溝道長度調制效應的狀況下,得到

這個跨導gm能夠用漏極電流ID表示為

也能夠用漏極電流ID和柵極-源極間電壓VGS表示為

體跨導gmb能夠由下式求得:

由式(1.18)和式(1.20),能夠分別導出

所以得到

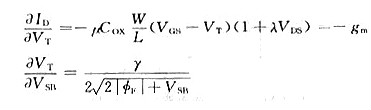
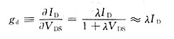
應用式(1.18),能夠將漏極電導表示為

應用這些小信號參數,能夠將小信號漏極電流id表示為下式:

MOS管的夾斷區和飽和區的區別是什么
柵極電壓可以產生溝道,也可以使溝道消失——夾斷;而源-漏電壓也有可能使MOSFET的溝道夾斷(局部夾斷),則溝道夾斷的電壓對應有兩個電壓。一般,產生或者夾斷溝道的柵極電壓稱為閾值電壓VT,而使溝道夾斷的源-漏電壓往往稱為飽和電壓Vsat,因為這時的源-漏電流最大、并飽和(即與源-漏電壓無關)。
(1) 耗盡型n-MOSFET:
耗盡型MOSFET在柵極電壓為0時即存在溝道。當負柵電壓增大到使溝道夾斷(整個溝道均勻夾斷)時,這時的柵電壓就稱為夾斷電壓Vp——耗盡型MOSFET的閾值電壓。
在VGS>Vp時,IDS=0,即為截止狀態。
在VGS<Vp時,存在溝道,IDS≠0:若VDS較低,則為線性導電狀態;若VDS= (Vp-VGS)時,則溝道在漏極端附近處夾斷(非整個溝道夾斷),漏極電流達到最大——飽和電流,這時的源-漏電壓就稱為飽和電壓。飽和電壓也就是使溝道發生局部夾斷時的源-漏電壓。在VDS≥Vsat=(Vp-VGS)即為MOSFET的飽和區。
(2)增強型n-MOSFET:
增強型MOSFET在柵極電壓為0時即不存在溝道。當正柵電壓增大到出現溝道時,這時的柵極電壓特稱為開啟電壓Vop——增強型MOSFET的閾值電壓。
在VGS<Vop時,沒有溝道,則IDS=0,即為截止狀態。
在VGS>Vop時,存在溝道,IDS≠0:若VDS較低,則為線性導電狀態;若VDS≥ (VGS-Vop)時,則溝道在漏極端附近處夾斷(非整個溝道夾斷),漏極電流達到最大、并飽和,MOSFET即進入飽和狀態。溝道開始夾斷時的源-漏電壓即為飽和電壓Vsat= (VGS-Vop)。
(3)溝道夾斷以后的導電性:
場效應晶體管是依靠多數載流子在溝道中的導電來工作的。沒有溝道(柵極電壓小于閾值電壓時),即不導電——截止狀態。出現了溝道(柵極電壓大于閾值電壓時),即可導電;并且在源-漏電壓增大到使得溝道在漏極端夾斷以后,其電流達到最大——飽和電流,即導電性能更好。為什么集電區能夠很好地導電?
因為溝道夾斷區實際上就是載流子被耗盡的區域,其中存在有沿著溝道方向的電場,所以只要有載流子到達夾斷區邊緣,就很容易被掃過夾斷區而到達漏極——輸出電流。可見,溝道夾斷區與BJT的反偏集電結的勢壘區類似,不但不起阻擋載流子的作用,而且還將有利于載流子的通過。因此,溝道夾斷以后,器件的輸出電流飽和,即達到最大。
烜芯微專業制造二極管,三極管,MOS管,橋堆等20年,工廠直銷省20%,1500家電路電器生產企業選用,專業的工程師幫您穩定好每一批產品,如果您有遇到什么需要幫助解決的,可以點擊右邊的工程師,或者點擊銷售經理給您精準的報價以及產品介紹
烜芯微專業制造二極管,三極管,MOS管,橋堆等20年,工廠直銷省20%,1500家電路電器生產企業選用,專業的工程師幫您穩定好每一批產品,如果您有遇到什么需要幫助解決的,可以點擊右邊的工程師,或者點擊銷售經理給您精準的報價以及產品介紹

