針對現有LED驅動電路存在電解電容限制壽命的不足,提出了一種無電解電容的LED驅動電路的設計方法。該方法采用Panasonic松下MIP553內置PFC可調光LED驅動電路的芯片,與外部非隔離底邊斬波電路合成作為基本的電路結構,輸出穩定的電流用以滿足LED工作的需要。同時設計保護電路來保護負載。實驗結果表明,控制器芯片能穩定工作,并且可以實現27V的恒壓輸出和350mA的恒流輸出。
LED(發光二極管)以其節能、環保、高亮度、長壽命等諸多優點成為新一代的綠色照明光源。隨著LED照明技術的日漸成熟,它終將用于生活的各個方面,并成為照明光源的新寵。然而,高效率、低成本、高功率因數和長壽命的驅動電源是LED燈發光品質和整體性能的關鍵。
現在市面上替代一般燈泡的LED燈是白熾燈泡壽命的約40倍,相當于4萬小時。由于LED是直流電流驅動零件,通過流過的電流,直接將電能轉變為光能,因此也稱為光電轉換器。因為不存在摩擦、機械損耗,所以在節能方面比一般的光源的效率高。但是,當AC電源接通時,一般是使用整流零件和平滑回路的直流穩定化電源,該平滑回路中必要的電解電容會因周圍的溫度及自身的發熱而上升10℃,而導致壽命減半所以電解電容阻礙了LED照明器具的壽命。
為了提高驅動電源的壽命、簡化電路、降低成本以及提高功率密度,有必要去掉電解電容,為此文中提出一種無電解電容的高亮度LED驅動電源。
1 LED電源的基本工作原理
采用BUCK變換器、IPD控制實現開關電源,輸出恒定的電流和電壓,驅動LED燈。電路的總體框圖如圖1所示。


主電路部分,在市電之后緊接著接了一個濾波器,它的作用是濾除電源中的高次諧波以及電源中的浪涌,使得控制電路受電源的干擾小。輸入整流部分采用一體式的整流橋,通過二極管的單向導通的特性將電平在零點上下浮動的交流電轉換為單向的脈動的直流電,再在濾波電容和電感的作用下,輸出直流電壓。經過MIP553和BUCK電路的調節和控制后輸出供LED使用的電壓。
2 LED電源的具體設計
2.1 輸入電路的設計
為了延長LED驅動電源的使用壽命,使之與LED相匹配,必須要去除電路中的電解電容。
電路的設計指標為:輸入交流電壓Vm:198—264VAC/50Hz;輸出電壓Vo:27VDC;輸出電流Io:0.35A。
輸入電路包括噪聲濾波裝置、安全保險裝置以及輸入整流裝置,如圖2所示。


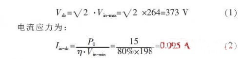
噪聲濾波裝置主要由電容C1/C2/C3和電感L1組成,其作用是在小于1MHz的頻段內,能夠減少電磁干擾(EMI)。此裝置也可以鏈接在AC交流之后,整流裝置之前,其濾波效果是一樣的。安全保險裝置由保險絲和ZNR1組成,保險絲主要防止有危害電路的尖峰電流產生的時候迅速切斷電路以保護負載;ZNR1是浪涌吸收器,對于來自輸入端的靜電和浪涌進行吸收,以此來保護后面的電路。輸入整流裝置,是將交流電轉換成直流電,輸入整流橋的選擇:整流橋二極管的電壓應力為:


考慮裕量,選用TSC GBL205(VR=600V,IFAN=1A)。
2.2 輸出電路的設計
輸出電路由基本的BUCK電路和一個穩壓二極管DD1組成。如圖3所示。
2.2.1 BUCK變換器及其優勢
Buck變換器又稱為降壓變換器、串聯開關穩壓器、三端開關型降壓穩壓器,是一種輸出電壓等于或小于輸入電壓的單管非隔離DC/DC變換器。


工作中的輸入電流is,在開關閉合時,is>0;在開關打開時,is=0,故is是脈動的,但輸出電流io在電感、二極管、電容的作用下卻是連續的、平穩的。特別適合為LED提供工作電流。
FRD1的選擇標準:額定電流大于2倍的輸出電流,額定電壓大于輸入電壓,其反向恢復時間也要在100ns以內,考慮裕量,FRD1的參數為:15A,600V,trr=50ns。用類似的方法選擇T1和Cout,那么其參數分別為:T1:680μH;Cout:1μF,50V。
2.2.2 穩壓二極管DD1
在低輸入電壓的某范圍內,若沒有像DD1的這種反向裝置,那么在開關關斷的瞬間將會有反向電流流過IPD,而IPD是不允許有這種電流的,因為這種反向電流將會導致IPD的損壞。
DD1所受到的各應力:IDD>2·Io=2×0.35=0.7A,UDD>Uo,反向恢復時間trr100ns。考慮裕量,其選擇的參數為:3A/60V/75ns。
2.2.3 保護電路
MIP553內置過壓、過流、過熱、LED短路的保護電路,但并無LED開路時保護電路的設計。LED開路時的保護電路的思想主要有穩壓二極管保護、三極管保護、偏壓線圈保護等,考慮到成本和結構,文中選擇具有穩壓二極管的保護電路。其電路圖如圖3所示。當LED開路時,輸出電壓上升,若輸出電路有穩壓二極管的保護電路,那么穩壓二極管將LED的電壓嵌位在二極管的壓降之下,這樣就能防止輸出電容的毀壞。
2.3 控制電路的設計
控制電路由MIP553及其外圍電路組成,如圖4所示。
MIP553芯片實現寬電壓85~277V/AC輸入,內置MOS,結構簡單、穩定,可不需要電解電容,支持隔離或非隔離方案,單電源輸出功率6~30W,恒定電流輸出1A。電源具有過壓、過流、過熱保護功能,安全穩定性高,體積小,發熱量低,電源效率≥80%,功率因數≥95%,THD20%。


MIP553的漏極電流由引腳CL和EX控制,因此連接這兩個引腳的電阻RCL、REX的設置將直接影響漏極電流的大小。最大漏極電流可由REX來確定,考慮到這個最大漏極電流要流經LED,因此設置參考值時應該注意。
REX=(VDD(ON)-VEXH)/IEX=(6.5-2.8)/103=36kΩ (3)
其中,假設輸入電壓100V,輸出電壓28V,電流:400mA,最大漏極電流設為1.0A。
CVDD、CEX、CCL的作用是穩定MIP553的運行、抑制外部噪聲。因此,其值要選擇得當。CVDD,穩定VDD的電壓、抑制LED的閃爍,特性不受溫度影響、不產生額外的噪聲,參考標準值為1~10μF之間;CEX,抑制外部噪聲進入EX引腳,其參考標準值在470~1000pF之間;CCL,抑制外部噪聲進入CL引腳,如果其值太大的話,那么pF值將會受到嚴重的影響,因此其值應小于1000pF。
2.4 仿真結果
利用Multisim對電路進行仿真,得到的結果如圖5所示。


從圖5中可以看出,輸出電壓穩定在27V,電流穩定在0-35A,符合設計要求。
3 LED電源的挑戰
LED作為新型的電光源,在制作大型發光立體字和發光標識中有著明顯的優勢,其控制電壓低,成本低,可靠性高。雖然LED產品在國內外市場有著愈演愈烈的發展趨勢,但是LED照明畢竟是新興的產業,目前還沒有廣泛的普及,因此LED驅動電源不可避免的在各方面存在著挑戰:首先,由于LED的正向電壓會隨著電流和溫度而變化,其“色點”也會隨著電流和溫度而漂移,為了保證LED的正常工作,就要求其驅動器無論在輸入條件和正向電壓如何變化的情況下都要限制電流。其次,如果需要LED調光,通常采用的是脈寬調制調光技術,典型的PWM頻率是1~3kHz。最后,LED驅動電路的功率處理能力必須充足,且功能強固,可以承受多種故障條件,易于實現。
4 結束語
LED是一種節能、高效、環保的綠色照明,對它的驅動電路研究非常重要。文中介紹了利用MIP553進行設計的LED驅動電源,并通過仿真證明了其輸出電流的穩定性,有很好的應用前景。
烜芯微專業制造二極管,三極管,MOS管,橋堆等20年,工廠直銷省20%,4000家電路電器生產企業選用,專業的工程師幫您穩定好每一批產品,如果您有遇到什么需要幫助解決的,可以點擊右邊的工程師,或者點擊銷售經理給您精準的報價以及產品介紹
烜芯微專業制造二極管,三極管,MOS管,橋堆等20年,工廠直銷省20%,4000家電路電器生產企業選用,專業的工程師幫您穩定好每一批產品,如果您有遇到什么需要幫助解決的,可以點擊右邊的工程師,或者點擊銷售經理給您精準的報價以及產品介紹

