電路中的電容應該取多大?介紹兩種電路中電容容值計算的方法。
1、在AC-DC的電源中,整流橋后要跟隨一個輸入濾波電容C,如下圖-1。
我們以如何計算這個電容為例。


輸入濾波電容C上的波形如上圖中的紅線所示,當然這是理想情況下的波形,即忽略了整流二極管的內阻。ΔV為電壓紋波大小,它根據負載的要求而定義。
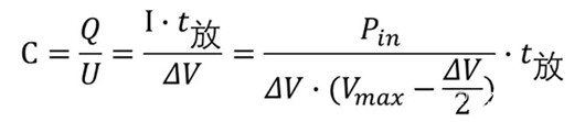
2、假設電容輸入功率為Pin,充電時間為t充,放電時間為t放=(T-t充)。

Pin、Vmax,我們可以根據設計要求得到,而Vmin=(Vmax-ΔV),所以再求出t放就可以求出電容C。

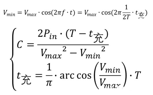
如上圖-2,根據Vmin在余弦波形中,可得到以下等式從而求出t充。最后根據t放=(T-t充)得到t放。

最后公式整理如上圖。

舉個例子:假如輸入電壓為市電:AC220V->DC310V、50Hz,功率為10W,計算輸入濾波電容。
解:假設ΔV=30V,則Vmax=310V,Vmin=310-30=280V;T=1/(50·2)=0.01s.代入上述公式可得上圖。
功率為10W的電源隨處可見,這里計算出來的容值也符合我們的經驗。但是這并不是絕對正確的。首先,電網會產生波動,AC220V的電壓經常會有所下降;其次,實際的電容會產生損耗,而這里忽略了這個的問題;最后,電容在低溫下容量會降低,需要降額。所以這里計算的容值偏低。

解釋一下:Pin/(Vmax-ΔV/2)表示在電容放電期間的平均電流。
這里的t放可以按照方法1計算。有時候我們為了快速計算,經驗上可以直接取電容充放電周期的80%。
〈烜芯微/XXW〉專業制造二極管,三極管,MOS管,橋堆等,20年,工廠直銷省20%,上萬家電路電器生產企業選用,專業的工程師幫您穩定好每一批產品,如果您有遇到什么需要幫助解決的,可以直接聯系下方的聯系號碼或加QQ/微信,由我們的銷售經理給您精準的報價以及產品介紹
聯系號碼:18923864027(同微信)
QQ:709211280

