密勒補償的作用是將放大器的主極點向低頻移動,同時將非主極點向高頻移動,從而實現極點分離。這樣做可以減小甚至消除零點對系統穩定性的影響。
在等效電路中,密勒補償可以使低頻極點被壓低1+A倍,其中A是密勒電容值。通過這種方式,可以提高系統的相位裕度,從而增強系統的穩定性。
在實際應用中,密勒補償可以通過添加補償電阻(通常稱為密勒電阻)來實現。補償電阻的作用是將右半平面的零點移向高頻,進一步減小零點對系統穩定性的影響。
密勒補償
在圖1.1(a)中,如果晶體管的電壓增益為-A,則電容CF等效到輸入節點X的電容為


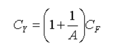
而電容CF等效到輸出節點Y的電容為


如果增益A很大,CX近似為ACF,CY近似為CF。


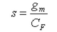
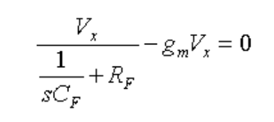
在圖1.1(a)中,彌勒補償電容CF和晶體管形成環路,引入一個零點。按零點的含義,可以理解為是輸入電壓VX通過兩支路到達節點Y,造成的影響互相抵消,即電流i1+i2=0,則有


求得零點為


在公式1.1中,該零點為右半平面零點。在圖1.2(b)中,與電容CF串上電阻RF,將右半平面零點轉為左半平面。則有


求得零點為


在公式1.2中,只要串聯電阻RF的阻抗大于1/gm,就可以將公式1.1的右半平面零點轉化為左半平面零點,之后隨著串聯電阻RF的增加,零點的的位置越低。
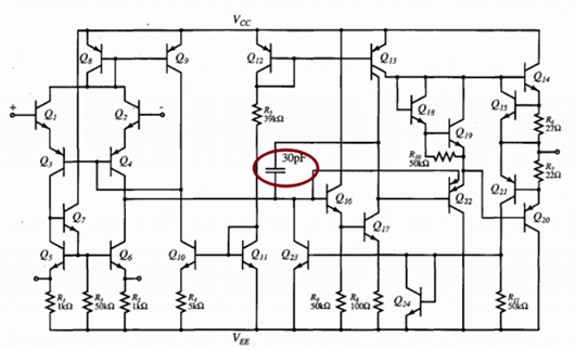
運算放大器密勒補償

〈烜芯微/XXW〉專業制造二極管,三極管,MOS管,橋堆等,20年,工廠直銷省20%,上萬家電路電器生產企業選用,專業的工程師幫您穩定好每一批產品,如果您有遇到什么需要幫助解決的,可以直接聯系下方的聯系號碼或加QQ/微信,由我們的銷售經理給您精準的報價以及產品介紹

〈烜芯微/XXW〉專業制造二極管,三極管,MOS管,橋堆等,20年,工廠直銷省20%,上萬家電路電器生產企業選用,專業的工程師幫您穩定好每一批產品,如果您有遇到什么需要幫助解決的,可以直接聯系下方的聯系號碼或加QQ/微信,由我們的銷售經理給您精準的報價以及產品介紹
聯系號碼:18923864027(同微信)
QQ:709211280

